Logo Jan Fromm
Schließen

exponentieller Zerfall 3


Aufgabe:

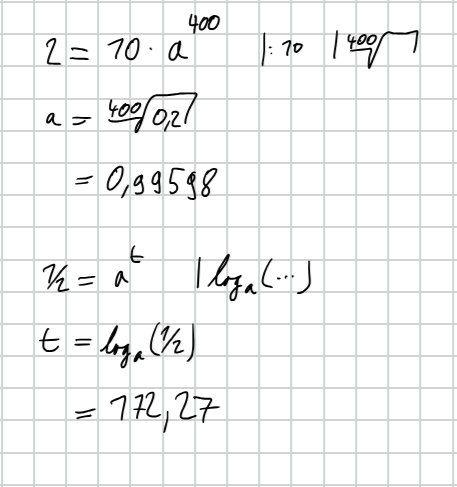
Nach $400$ Jahren sind von $10$ Gramm eines radioaktiven Materials noch $2$ Gramm übrig. Berechnen Sie die Halbwertszeit des Materials.

Ergebnis
    
>
Lösungsweg
    
>





Über diesen Beitrag

Erstellt am: 19.02.2025

ID: SRX5OR

Typ: Stichwort

Kategorie: mathe-vorkurs